Object References
The Designer uses references for all objects.
This is valid for objects of Base Type (like String, Integer, ...) as well as for objects of complex type.
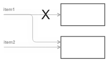
If you have two objects of same type, for example item1
and item2
, you can write set item1 = item2
.

item1
gets assigned the same reference as item2
and now they are both pointing to the same object.
This means, if you later on modify any attribute values of item1
, object item2
will also have these changed values.
Some Implications of Object References
Using Base Type Methods
What happens, if you use a Base Type method, like e.g. toUpper() for type String, to change an object? You can writeset string1 = string2;
set string1 = string1.toUpper();
Will the second statement also change string2
? No, and this is why:

string1.toUpper()
will implicitly create a new object containing the result of the function call and string1
will point to the new object.
Arrays
More advanced types like arrays and maps also use object references.
If you have two arrays array1
and array2
, you can write set array 1 = array2
.

array1
is now referencing the same elements as array2
, and adding elements or changes to elements of one of them will change the other array, too.
Example:
You have the following articles array:
{ "articles": [
{"name": "AF-1200", "category": "Adapter", "serviceInterval": 52},
{"name": "RC-0002", "category": "Adapter", "serviceInterval": 104},
{"name": "CD-2002", "category": "Connector", "serviceInterval": 52},
{"name": "CD-2024", "category": "Connector", "serviceInterval": 208}
]}
You perform the following select
statement:
set connectors = select each from articles where element.category = "Connector";
You get the following resulting array:
{ "connectors": [
{"name": "CD-2002", "category": "Connector", "serviceInterval": 52},
{"name": "CD-2024", "category": "Connector", "serviceInterval": 208}
]}
Now, you have two arrays: articles and connectors. The connectors array contains references to the articles array.
You apply the following statement to the connectors:
set connectors[0].name = "CD-XXXX";
This will also change the related element in the articles array.
Result:
{ "connectors": [
{"name": "CD-XXXX", "category": "Connector", "serviceInterval": 52},
{"name": "CD-2024", "category": "Connector", "serviceInterval": 208}
]}
{ "articles": [
{"name": "AF-1200", "category": "Adapter", "serviceInterval": 52},
{"name": "RC-0002", "category": "Adapter", "serviceInterval": 104},
{"name": "CD-XXXX", "category": "Connector", "serviceInterval": 52},
{"name": "CD-2024", "category": "Connector", "serviceInterval": 208}
]}
Use the copy() operation to create a copy of the array elements to create two independent arrays in case you need this:
set connectors = select each from articles where element.category = "Connector";
set connectors = connectors.copy();
Arrays and Maps
If you have an array array1
and execute a buildMap() on this array, you will have the following situation:

The map values are referencing the array elements. This has the following effects:
Changing the content of an existing array element will change the corresponding map value content, e.g.
set array1[0].attribute2 = ...
Changing an existing map value content will change the corresponding array element content, e.g.
newValue = map1.getMapValue(key1);
set newValue.attribute2 = ...
Changing the reference to an existing array element will not change the corresponding map value, e.g.
set array1[2] = aNewArrayElement;
Appending elements to the array will not affect the map and vice versa.
Independent Objects
If you want truly independent objects, use the copy() Operation. Contrary to referencing objects, if you write set item2 = item1.copy()
, changes in the state of item1
will not effect item2.

This will also duplicate used memory space, however.
Memory Adapter
The Memory adapter is an exception to this in such a way, that all objects stored to memory are duplicated (stored as a copy), and also all objects that are retrieved from memory are stored in a copy.

Changes to item1
will not change item1_copy
and vice versa.